Skip to content Skip to sidebar Skip to footer

41 what coupon rate should the company set on its new bonds if it wants them to sell at par

Chamberlain co wants to issue new 16 year bonds for The company should set the coupon rate on its new bonds equal to the required return; the required return can be observed in the market by finding the YTM on outstanding bonds of the company. Enter 32 ±$1,035 $70 / 2 $1,000 N I/Y PV PMT FV Solve for 3.321% 3.321% ×2 = 6.64% Maturity of bond 8.10 years Maturity of bond 8.10 years Solved What coupon rate should the company set on its new | Chegg.com Transcribed image text: PQR Co. wants to issue new 10-year bonds for some much- needed expansion projects. The company currently has 5.8 percent coupon bonds on the market that sell for $1,125, make semiannual payments, and mature in 10 years.

Solved Uliana Company wants to issue new 21-year bonds for | Chegg.com The company currently has 9.6 percent coupon bonds on the market that sell for $1,136, make semiannual payments, have a par value of $1,000, and mature in 21 years. What coupon rate should the company set on its new bonds if it wants them to sell at par? Expert Answer At 8% Vo = 96/2× [1- (1.04)^-42/0.04] + 1000 (1.04)^-42 … View the full answer

What coupon rate should the company set on its new bonds if it wants them to sell at par

What coupon rate should the company set on its new bonds if it wants them to sell at par

(Solved) - RAK Co. wants to issue new 20-year bonds for some... - (1 ... Coupon Rate = 0.06476 ... (Solved) - What coupon rate should the company set on its new bonds if ... 1 Answer to Bond Yields BDJ ... Solved Uliana Company wants to issue new 15-year bonds for - Chegg The company currently has 9 percent coupon bonds on the market that sell for $1,070, make semiannual payments, and mature in 15 years. What coupon rate should the company set on its new bonds if it wants them to sell at par? (Do not round intermediate calculations and enter your answer as a percent rounded to 2 decimal places, e.g., 32.16.)

What coupon rate should the company set on its new bonds if it wants them to sell at par. BDJ Co. - Coupon Rate Bonds - BrainMass BDJ Co. wants to issue new 10-year bonds for some much-needed expansion projects. The company currently has 8 percent coupon bonds on the market that sell for $1,095, make semiannual payments, and mature in 10 years. What coupon rate should the company set on its new bonds if it wants them to sell at par? Solved Uliana Company wants to issue new 20-year bonds for - Chegg Expert Answer 100% (5 ratings) Transcribed image text: Uliana Company wants to issue new 20-year bonds for some much-needed expansion projects. The company currently has 6 percent coupon bonds on the market with a par value of $1,000 that sell for $967, make semiannual payments, and mature in 20 years. Answer in Finance for rim #9185 - Assignment Expert What coupon rate should the company set on its new bonds if it wants them to sell at par? 6.25 percent 6.37 percent 6.50 percent 6.67 percent 6.75 percent Expert's answer Coupon rate is annual payout as a percentage of the bond's par value. Compounding = semi annually Par Value = 1000 Market Rate = 6.5 Market Price = 972.78 N = 40 Airbutus co wants to issue new 20 year bonds for some What coupon rate should the company set on its new bonds if it wants them to sell at par? Assume the par value of a bond is $1,000. (Do not round intermediate calculations. Round the final answer to 2 decimal places.) Coupon rate 8.74 ± 1% % Explanation The company should

Seether co wants to issue new 20 year bonds for some - Course Hero What coupon rate should the company set on its new bonds if it wants them to sell at par? →8.75% 4.38% 8.65% 8.85% 8.00% The company should set the coupon rate on its new bonds equal to the required return. The required return can be observed in the market by finding the YTM on outstanding bonds of the company. Coupon Rate the Company Should Set on Its New Bonds - BrainMass A company currently has 10 percent coupon bonds on the market that sell for 1,063, make semiannual payments, and mature in 20 years. What coupon rate should the company set on its new bonds if it wants them to sell at. OneClass: Chamberlain Co. wants to issue new 20-year bonds for some mu Chamberlain Co. wants to issue new 20-year bonds for some much-needed expansion projects. The company currently has 7 percent coupon bonds on the market that sell for $1,083, make semiannual payments, and mature in 20 years. What coupon rate should the company set on its new bonds if it wants them to sell at par? Show full question + 20 Watch Business Finance Ch6 Quiz - Connect Flashcards | Quizlet Coupon payment = (1000 x 7.9%x50%) Coupon payment = 39.5 Number of periods = 13 x 2 Number of periods = 26 Periodic YTM = 5.6%/2 Periodic YTM = 2.8% Price = -PV (rate,nper,pmt,fv)) Price = -PV (2.8%,26,39.5,1000) Price = 1,210.40 You purchase a bond with an invoice price of $1,145.

[Solved] Chamberlain Co. wants to issue new 20-yea - SolutionInn Chamberlain Co. wants to issue new 20-year bonds for some much-needed expansion projects. The company currently has 7 percent coupon bonds on the market that sell for $1,083, make semiannual payments, and mature in 20 years. What coupon rate should the company set on its new bonds if it wants them to sell at par? 7.6-7.7 Bonds: Inflation, Interest Rates,and Determinants of ... - Quizlet the ease in which an asset can be converted to cash without significant loss of value RWB Inc., has 6% coupon bonds on the market that have 10 years left to maturity. The bonds make annual payments. If the YTM on these bonds is 11%, what is the current bond price? A. $705.54 B. $1,000.00 C. $1,061.61 D. $1,134.11 E. $1,368.00 A. $705.54 Bond Coupon Interest Rate: How It Affects Price - Investopedia A bond's coupon rate denotes the amount of annual interest paid by the bond's issuer to the bondholder. Set when a bond is issued, coupon interest rates are determined as a percentage of the bond ... Finance Midterm 1 Flashcards | Quizlet If YTM = Coupon Rate... Price = Par Intrest Rate Risk increases when: -YTM increases -Price decreases -Coupon Rate decreases Premium Bond A bond that sells for more than the face value Zero Coupon Bond bond that makes no coupon payments, so its priced at a discount Discount Bond has a coupon rate that is less than the bond's YTM

Chap 6 & 7 Questions | PDF | Bonds (Finance) | Yield (Finance)

Chap 6 & 7 Questions | PDF | Bonds (Finance) | Yield (Finance)

Solved Uliana Company wants to issue new 18-year bonds for - Chegg What coupon rate should the company set on its new bonds if it wants them to sell at par? Expert Answer 100% (1 rating) Solution : Given, Maturity of the bond in years = 18 Coupon rate = 9% Current price of the bond, PV = $1,045 Par value of the bond, FV = $1,000 Semi-a … View the full answer Previous question Next question

When To Sell Bonds - BondSavvy

When To Sell Bonds - BondSavvy

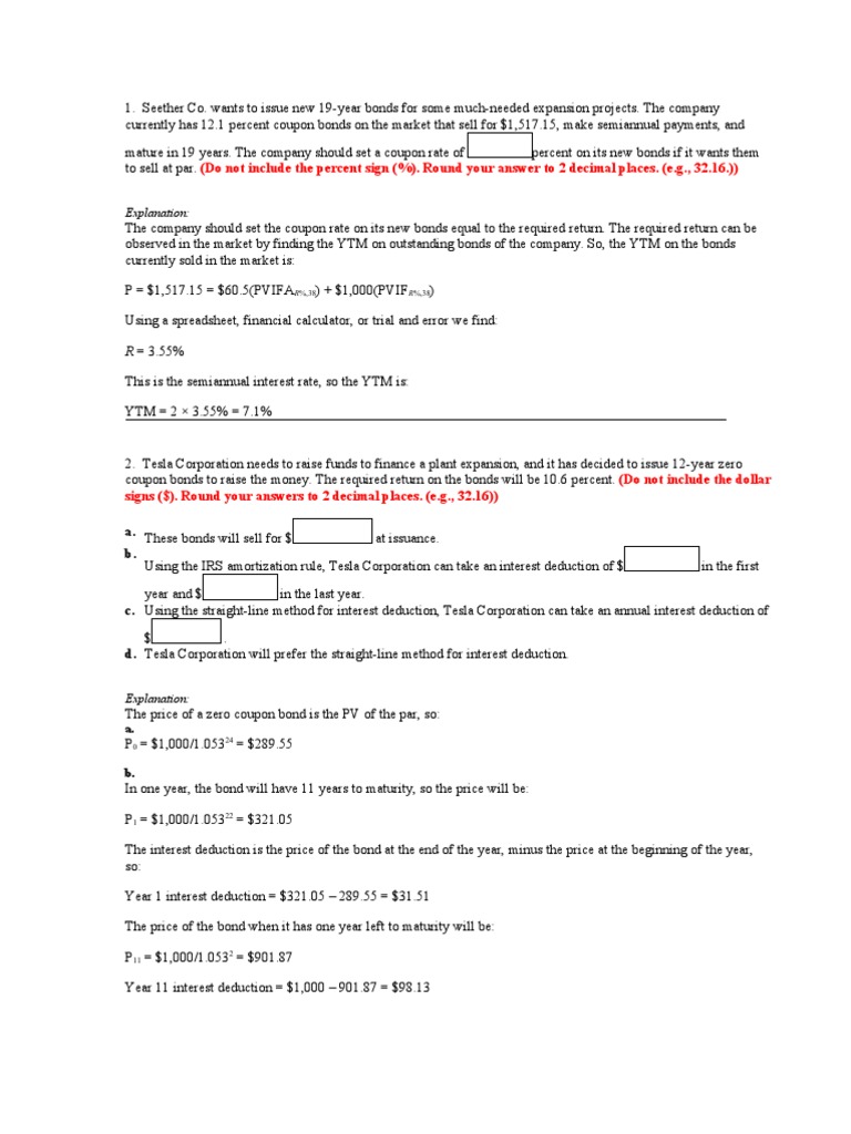
BDJ Co. wants to issue new 19-year bonds for some much-needed expansion ... Use financial calculator FV= $1000 PV= $1143 N= 19*2= 38 PMT = 0.103 * 1,000 * 0.5 == 51.5 Compute I= 4.37%*2= 8.74% If the company wants to sell the new bonds on par it should set the coupon rate as 8.74% because when ytm and coupon rate are the same the bond sells on par. Explanation: Advertisement

Solved Chamberlain Co. wants to issue new 20-year bonds for ...

Solved Chamberlain Co. wants to issue new 20-year bonds for ...

Coccia Co. wants to issue new 20-year bonds for some much-needed ... Coccia Co. wants to issue new 20-year bonds for some much-needed expansion projects. The company currently has 8 percent coupon bonds on the market that sell for $1,075, make semiannual payments, and mature in 20 years. What coupon rate should the company set on its new bonds if it wants them to sell at par? picktigers4944 is waiting for your help.

Basics Of Bonds - Maturity, Coupons And Yield

Basics Of Bonds - Maturity, Coupons And Yield

Quiz 6 PDF - 1.BDJ Co. wants to issue new 21-year bonds for... The company should set the coupon rate on its new bonds equal to the required return; the requiredreturn can be observed in the market by finding the YTM on outstanding bonds of the company. Enter 21 × 2 ±$1,131 $91 / 2 $1,000 N I/Y PV PMT FV Solve for 3.910% YTM = 2 × 3.910% YTM = 7.82%

West Corp. issued 25-year bonds two years ago at a coupon ...

West Corp. issued 25-year bonds two years ago at a coupon ...

Chamberlain Co. wants to issue new 20-year bonds for some much-needed ... The company currently has 6 percent coupon bonds on the market that sell for $1,083, make semiannual payments, and mature in 20 years. What coupon rate should the company set on its new bonds if it wants them to sell at par? simranstory9180 is waiting for your help. Add your answer and earn points. Expert-verified answer jepessoa Answer: 5.36%

Answered: 22. Bond Yields [LO2] Chamberlain Co.… | bartleby

Answered: 22. Bond Yields [LO2] Chamberlain Co.… | bartleby

Coupon Rate - Learn How Coupon Rate Affects Bond Pricing Assuming that the price of the bond increases to $1,500, then the yield-to-maturity changes from 2% to 1.33% ($20/$1,500= 1.33%). If the price of the bond falls to $800, then the yield-to-maturity will change from 2% to 2.5% ( i.e., $20/$800= 2.5%). The yield-to-maturity only equals the coupon rate when the bond sells at face value.

Solved] Problem Exercise #4 (Unit 7) '1. Present Value and ...

Solved] Problem Exercise #4 (Unit 7) '1. Present Value and ...

FIN401 Exam 2 (Chapter 7) Flashcards | Quizlet Pembroke Co. wants to issue new 20-year bonds for some much-needed expansion projects. The company currently has 10% coupon bonds on the market that sells for $1,063, makes semiannual payments and matures in 20 years. What coupon rate should the company set on its new bonds if it wants them to sell at par?

Interest Theory Final – Time: 70 min

Interest Theory Final – Time: 70 min

Pembroke co wants to issue new 20 year bonds for some - Course Hero See Page 1. Pembroke Co. wants to issue new 20-year bonds for some much-needed expansion projects. The company currently has 7 percent coupon bonds on the market that sell for $1,063, make semiannual payments, and mature in 20 years. What coupon rate should the company set on its new bonds if it wants them to sell at par?

How to Calculate Bond Discount Rate: 14 Steps (with Pictures)

How to Calculate Bond Discount Rate: 14 Steps (with Pictures)

(Solved) - Question RAK Co. wants to issue new 20-year bonds for some ... 1 Answer to Question RAK ...

Understanding Bond Yield and Return | FINRA.org

Understanding Bond Yield and Return | FINRA.org

Finance 300 Exam 2 Flashcards | Quizlet Heginbotham Corp. issued 15-year bonds two years ago at a coupon rate of 7.9 percent. The bonds make semiannual payments. If these bonds currently sell for 109 percent of par value, what is the YTM? N = 26 I/Y = ? PV = 1090 PMT = 79/2 FV = 1000 I/Y = 3.422 You find a zero coupon bond with a par value of $10,000 and 19 years to maturity.

Chapter 7 | PDF | Bonds (Finance) | Yield (Finance)

Chapter 7 | PDF | Bonds (Finance) | Yield (Finance)

Solved Uliana Company wants to issue new 15-year bonds for - Chegg The company currently has 9 percent coupon bonds on the market that sell for $1,070, make semiannual payments, and mature in 15 years. What coupon rate should the company set on its new bonds if it wants them to sell at par? (Do not round intermediate calculations and enter your answer as a percent rounded to 2 decimal places, e.g., 32.16.)

How To Buy Bonds: 4 Ways To Buy & What To Consider | Seeking ...

How To Buy Bonds: 4 Ways To Buy & What To Consider | Seeking ...

(Solved) - What coupon rate should the company set on its new bonds if ... 1 Answer to Bond Yields BDJ ...

Bond: Financial Meaning With Examples and How They Are Priced

Bond: Financial Meaning With Examples and How They Are Priced

(Solved) - RAK Co. wants to issue new 20-year bonds for some... - (1 ... Coupon Rate = 0.06476 ...

Solved Chamberlain Co. wants to issue new 10-year bonds for ...

Solved Chamberlain Co. wants to issue new 10-year bonds for ...

Lourdes Corporation's 12% coupon rate, semiannual payment ...

Lourdes Corporation's 12% coupon rate, semiannual payment ...

Solved Chamberlain Co. wants to issue new 19-year bonds for ...

Solved Chamberlain Co. wants to issue new 19-year bonds for ...

involve zero coupon bonds a zero coupon bond is a bond that is sold now at  a discount and will pay i

involve zero coupon bonds a zero coupon bond is a bond that is sold now at a discount and will pay i

Solved Chamberlain Co. wants to issue new 13-year bonds for ...

Solved Chamberlain Co. wants to issue new 13-year bonds for ...

Global Exporters wants to raise $31 million to expand its ...

Global Exporters wants to raise $31 million to expand its ...

Quiz 6 PDF - 1.BDJ Co. wants to issue new 21-year bonds for ...

Quiz 6 PDF - 1.BDJ Co. wants to issue new 21-year bonds for ...

Solved Chamberlain Co. wants to issue new 20-year bonds for ...

Solved Chamberlain Co. wants to issue new 20-year bonds for ...

Solved Assume the below information to answer the following ...

Solved Assume the below information to answer the following ...

Coupon Bond - Guide, Examples, How Coupon Bonds Work

Coupon Bond - Guide, Examples, How Coupon Bonds Work

Solved Problem 6-1 Question Help Consider a 20-year | Chegg.com

Solved Problem 6-1 Question Help Consider a 20-year | Chegg.com

Bond Yields: Nominal and Current Yield, Yield to Maturity ...

Bond Yields: Nominal and Current Yield, Yield to Maturity ...

Interest Rates and Bond Valuation

Interest Rates and Bond Valuation

SU (selviautama): bond yields

SU (selviautama): bond yields

A bond 5 years to maturity and a coupon rate of 6 percent has ...

A bond 5 years to maturity and a coupon rate of 6 percent has ...

A firm issues 20-year bonds with a coupon rate of 4.8%, paid ...

A firm issues 20-year bonds with a coupon rate of 4.8%, paid ...

Interest Theory Final – Time: 70 min

Interest Theory Final – Time: 70 min

TBUS350 BUSINESS FINANCE CH 6 Flashcards | Quizlet

TBUS350 BUSINESS FINANCE CH 6 Flashcards | Quizlet

BDJ Co. wants to issue new 19-year bonds for some much-needed ...

BDJ Co. wants to issue new 19-year bonds for some much-needed ...

Premium vs Discount Bonds: Which Should You Buy? - SmartAsset

Premium vs Discount Bonds: Which Should You Buy? - SmartAsset

BDJ Co. wants to issue new 19-year bonds for some much-needed ...

BDJ Co. wants to issue new 19-year bonds for some much-needed ...

Exam 2 February, questions and answers - (Difficulty Levels ...

Exam 2 February, questions and answers - (Difficulty Levels ...

Par Value: Definition for Bonds and Common Stock

Par Value: Definition for Bonds and Common Stock

Solved] P6-24 Bond valuation; Semiannual interest You are ...

Solved] P6-24 Bond valuation; Semiannual interest You are ...

Zero-Coupon Bond - an overview | ScienceDirect Topics

Zero-Coupon Bond - an overview | ScienceDirect Topics

Solved Chamberlain Co. wants to issue new 20-year bonds for ...

Solved Chamberlain Co. wants to issue new 20-year bonds for ...

A 7% coupon rate bond has a face value of $1,000, pays ...

A 7% coupon rate bond has a face value of $1,000, pays ...

Hk W4 - homework - Chapter 7 Suppose you buy a 7% coupon, 20 ...

Hk W4 - homework - Chapter 7 Suppose you buy a 7% coupon, 20 ...

Post a Comment for "41 what coupon rate should the company set on its new bonds if it wants them to sell at par"